Предмет: Физика,
автор: tot75
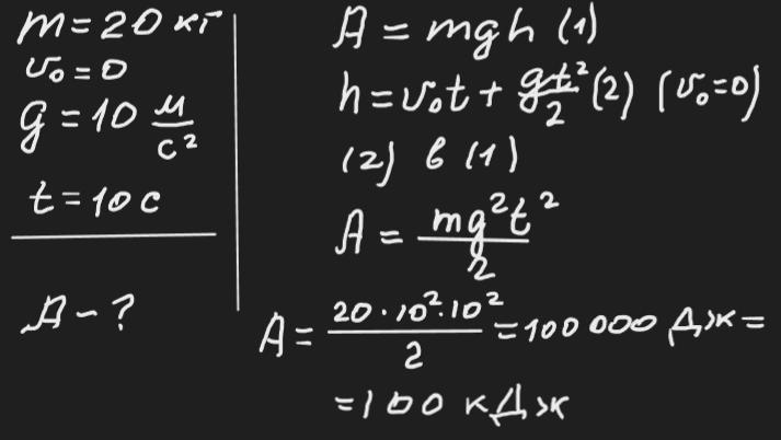
Яку роботу виконує сила тяжіння під час вільного падіння тіла масою
20 кг за перші 10 с падіння?
Ответы
Автор ответа:
2
Відповідь: 100 кДж
Пояснення:
Приложения:
Похожие вопросы
Предмет: Физика,
автор: Аноним
Предмет: Химия,
автор: veronikazuk451
Предмет: Другие предметы,
автор: valeriakaraulova509
Предмет: Французский язык,
автор: brawlstars112420
Предмет: Английский язык,
автор: darina300119998