Предмет: Алгебра,
автор: lebedevaan
ДОПОМОЖІТЬ ХОЧА Б ОДНЕ ЗАВДАННЯ!
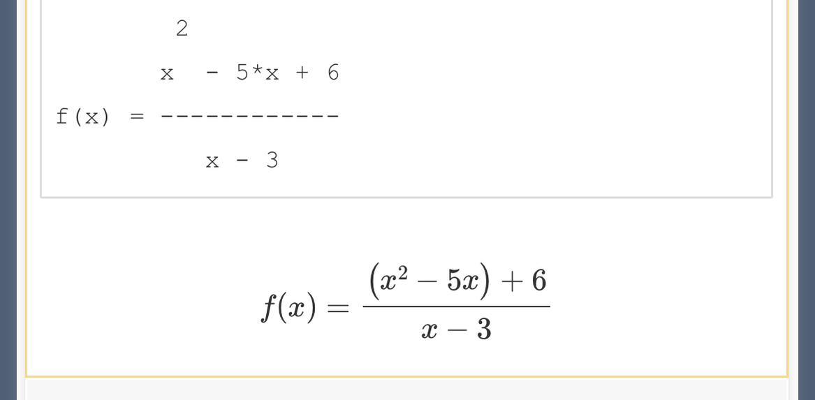
f(x)=x^2-5x+6/x-3
Приложения:
Ответы
Автор ответа:
0
Продолжение в комментариях;) надеюсь то
Приложения:
lebedevaan:
в каком приложении вы считаете? прошу ответьте у меня контрольная семестровая очень нужно
X 1=3
(22-52) + 6
___________
X - 3
=0
X 1= 2
(02 - 0) + 6
__________
-3
f(0) =-2
d
____ f (x) = 0
dxc
2х-5 (262-52) + 6
___ - ___________ =0
X -3 (Х-3)2
d2
—-
ах f(x) =0
Продолжение по ссылке:
https://www.kontrolnaya-rabota.ru/s/grafik/xy/expr/d6a0dd130c7a0a69cb5566fba59fda3f/
(22-52) + 6
___________
X - 3
=0
X 1= 2
(02 - 0) + 6
__________
-3
f(0) =-2
d
____ f (x) = 0
dxc
2х-5 (262-52) + 6
___ - ___________ =0
X -3 (Х-3)2
d2
—-
ах f(x) =0
Продолжение по ссылке:
https://www.kontrolnaya-rabota.ru/s/grafik/xy/expr/d6a0dd130c7a0a69cb5566fba59fda3f/
Извиняюсь за ссылку, просто не могу написать
дуже дякую, ви мене врятували
Сайт: kontlnaya-rabota.ru
https://www.kontrolnaya-rabota.ru/s/grafik/xy/expr/d6a0dd130c7a0a69cb5566fba59fda3f/
https://www.kontrolnaya-rabota.ru/s/grafik/xy/expr/d6a0dd130c7a0a69cb5566fba59fda3f/
Если не сложно, дайте «лучший ответ», пожалуйста
Похожие вопросы
Предмет: Қазақ тiлi,
автор: shmelevaksenia908
Предмет: История,
автор: dilarazhuntaeva
Предмет: Алгебра,
автор: bezalifka
Предмет: Русский язык,
автор: dianadosan06
Предмет: Қазақ тiлi,
автор: islam2552