Предмет: Алгебра,
автор: Аноним
ПОМОГИТЕ ПОЖАЛУЙСТА
Приложения:
Ответы
Автор ответа:
1
Пометь мой ответ как лучший, если не сложно. Спасибо заранее
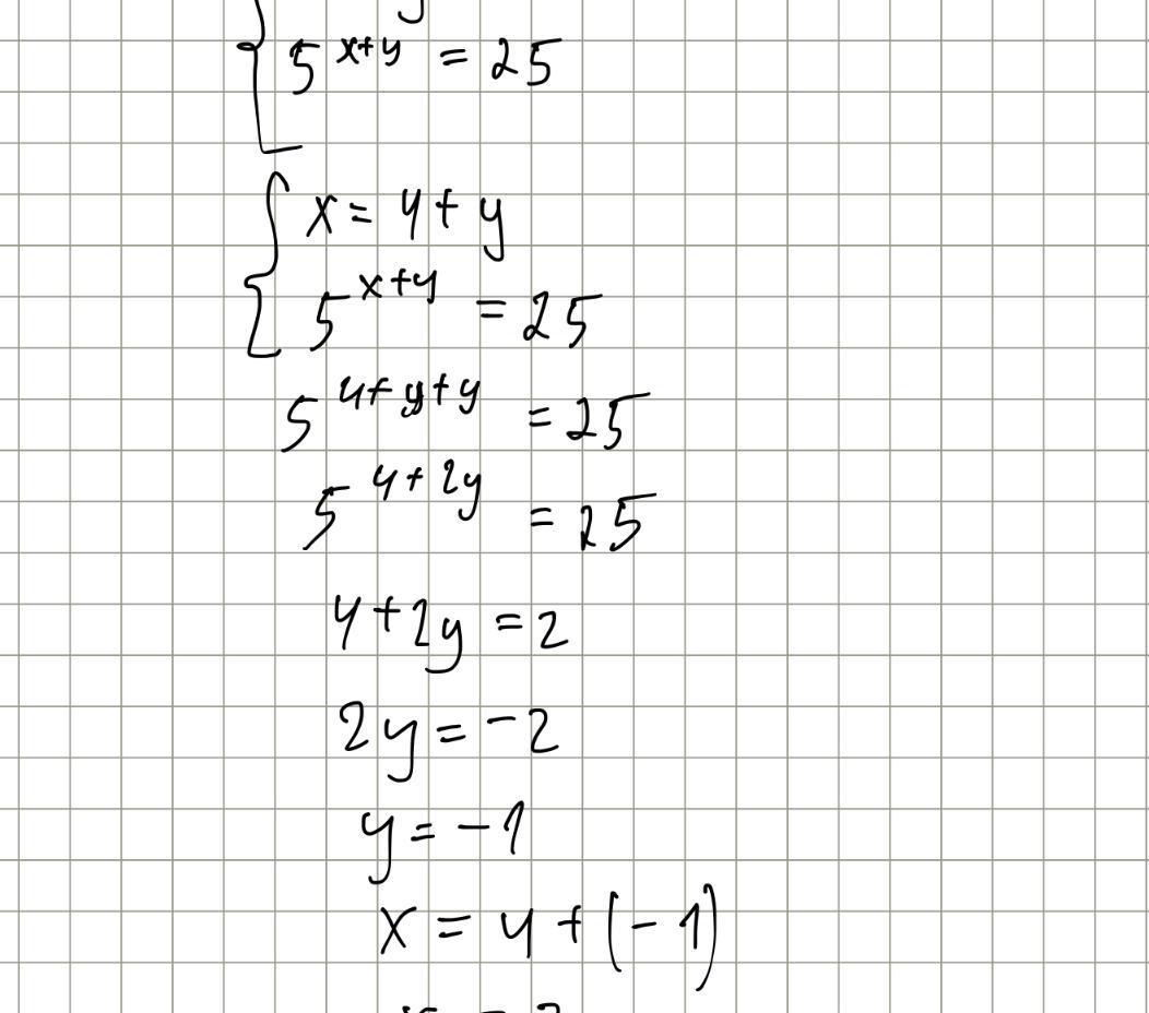
Приложения:
Автор ответа:
1
1.уже дали решение
шранщвнщагщнщаодаодагжаожаожаодаодагщагщ
Похожие вопросы
Предмет: Химия,
автор: nastyluk09
Предмет: Физика,
автор: kyzminadashaa
Предмет: Химия,
автор: Pulitzer
Предмет: Математика,
автор: Аноним
Предмет: Математика,
автор: aripovaanela85