Предмет: Алгебра,
автор: dashapaintakira
Даю 30 баллов
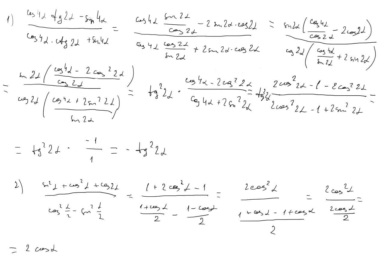
Спростіть вираз
Приложения:
Warlock1:
а тебе просто ответ надо или решение? на 1) -1 получилось. ща попробую 2й решить
не, не так. ща ответ дам
Ответы
Автор ответа:
1
Ответ:
ответ В)
Объяснение:
Приложения:
Похожие вопросы
Предмет: Русский язык,
автор: fx52xrc8fj
Предмет: Математика,
автор: adamovuchd
Предмет: Алгебра,
автор: syndima2010
Предмет: Литература,
автор: ksmachkov
Предмет: История,
автор: CrypToNighT