Предмет: Алгебра,
автор: Gormin
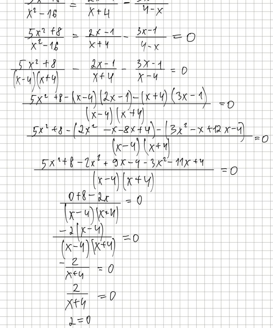
Помогите пожалуйста, задание на файле.
Приложения:
Ответы
Автор ответа:
1
Сделай мой ответ как лучшее решение если не сложно. Спасибо
Приложения:
Gormin:
Чтобы сделать его лучшим, мне надо как минимум 2 ответа. А так спасибо
Похожие вопросы
Предмет: Алгебра,
автор: syndima2010
Предмет: Английский язык,
автор: Аноним
Предмет: История,
автор: matass813
Предмет: Математика,
автор: dinaranurlankyzy14
Предмет: Биология,
автор: Аноним