Предмет: Химия,
автор: mirr5161
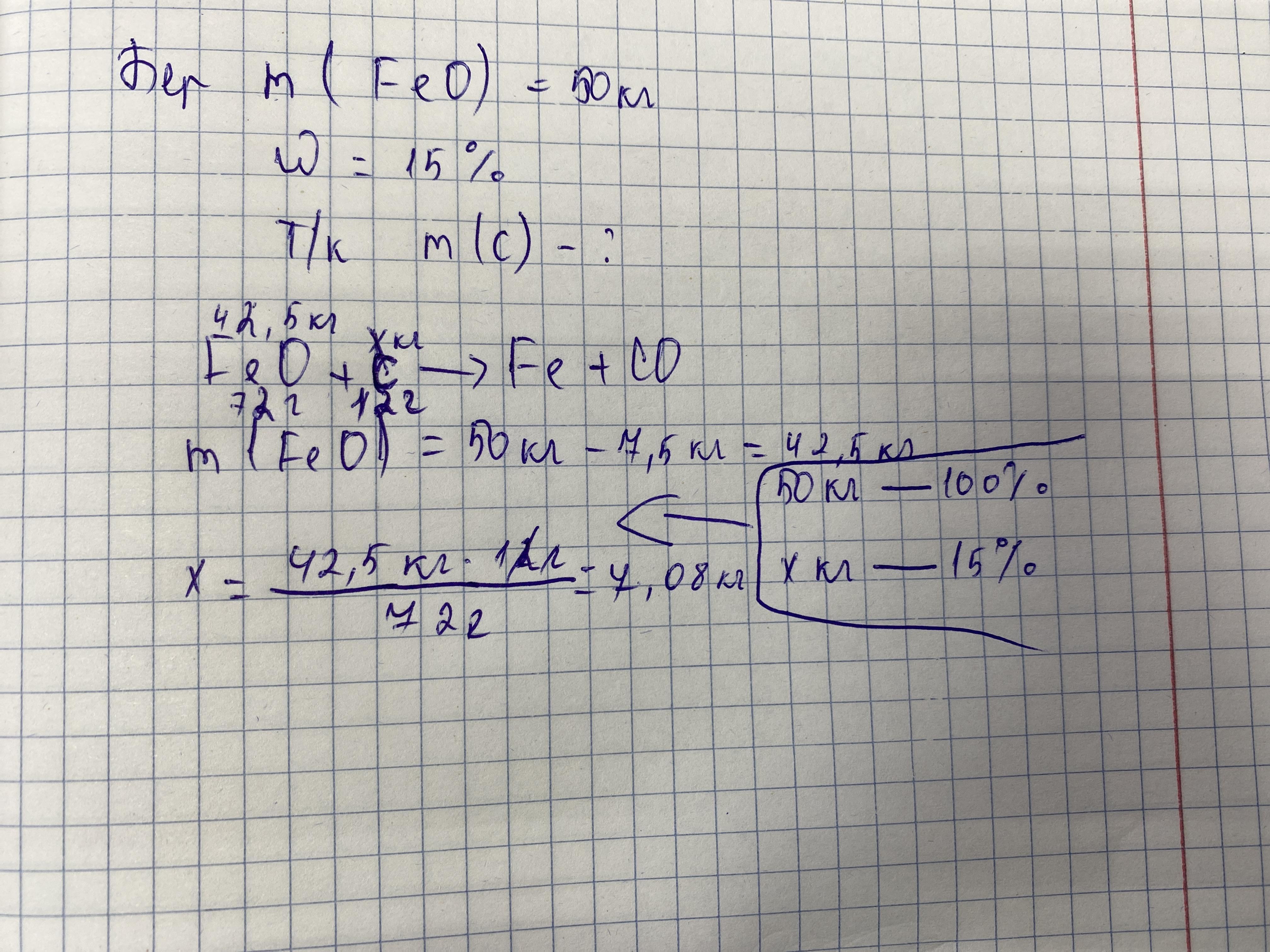
6. Курамында 15% коспасы бар 50 кг темір (II) оксидін толык тотыксыздандыруга кажет кемiртектiн массасып аныктаныз. помогите пж.
Приложения:
Ответы
Автор ответа:
1
Ответ: думаю понятно
Объяснение:
Приложения:
Похожие вопросы
Предмет: Математика,
автор: lesenok197686
Предмет: Геометрия,
автор: kamilla4811
Предмет: Математика,
автор: artemrudkin99
Предмет: Окружающий мир,
автор: svyat6169