Предмет: Алгебра,
автор: nuraliosipov
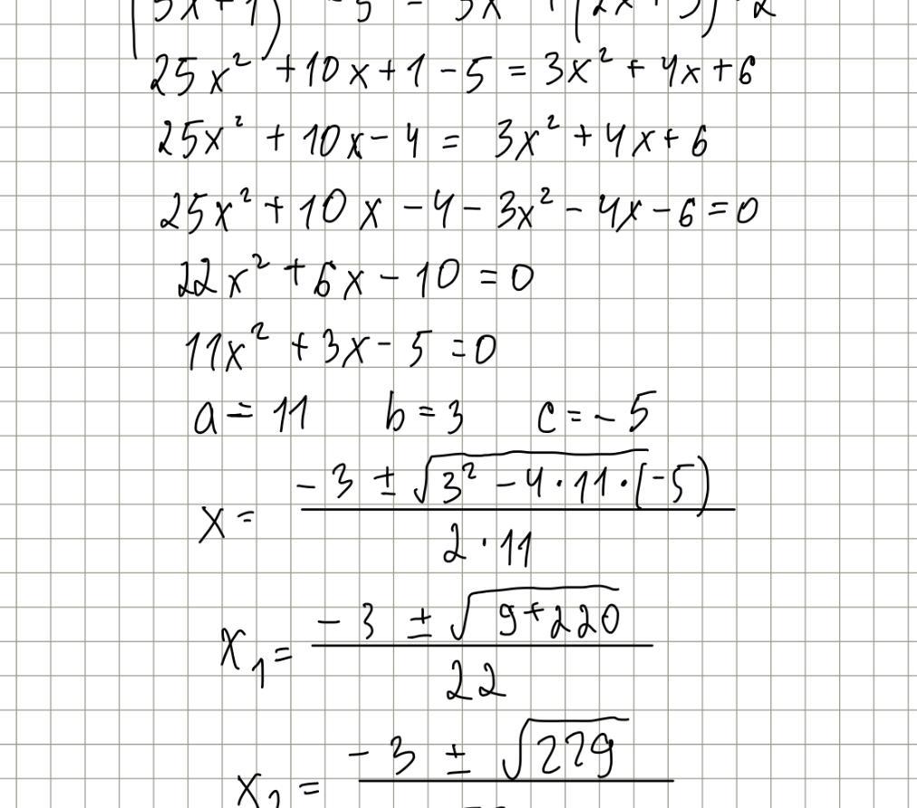
1. (5x+1)2-5 =3x2+(2x-3)² вот
Ответы
Автор ответа:
1
Вроде так
…………
……()()()
…………
……()()()
Приложения:
nuraliosipov:
отдуши бро ты мой спаситель
Похожие вопросы
Предмет: История,
автор: kseniatarnovecka
Предмет: Физика,
автор: oksanazhulidova84
Предмет: История,
автор: fnafiiandrij
Предмет: Қазақ тiлi,
автор: icivjkvvckcvvv
Предмет: Алгебра,
автор: Аноним