Предмет: Алгебра,
автор: nuraliosipov
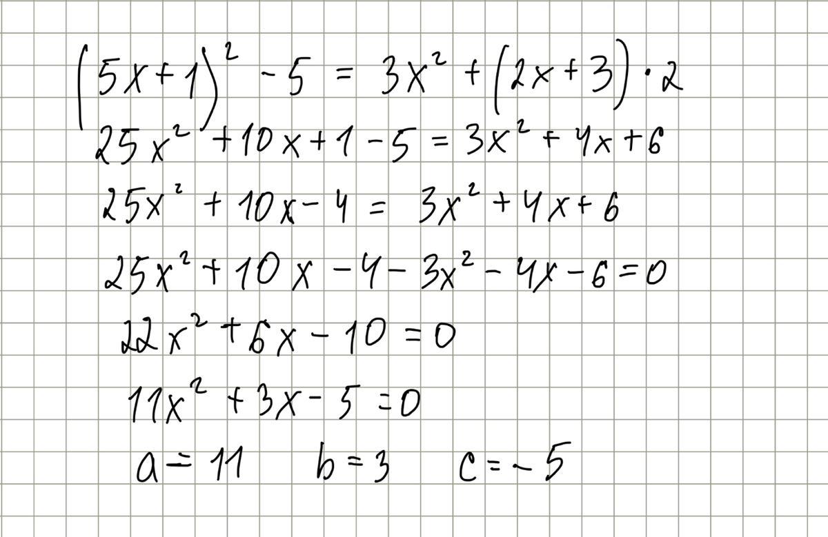
2. 1. (5x+1)²-5 =3x²+(2x+3)2 помогите прошу у меня завтра соч !!!!
Ответы
Автор ответа:
1
Решение
………………….
……….
………………….
……….
Приложения:
nuraliosipov:
мне нажать заблокировать?
пон
идея
го
я ещё раз этот же задание
типо отправлю
жди
все чекай
Похожие вопросы
Предмет: Математика,
автор: negritonegroboom666
Предмет: Математика,
автор: studiogamer85
Предмет: Математика,
автор: dimaukrainian89
Предмет: Другие предметы,
автор: pal2sheva
Предмет: Қазақ тiлi,
автор: Alaptor