Предмет: Алгебра,
автор: melfoy
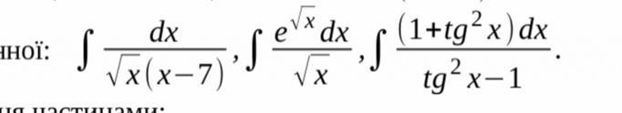
Обчислити інтеграли через заміну змінної
Приложения:
Ответы
Автор ответа:
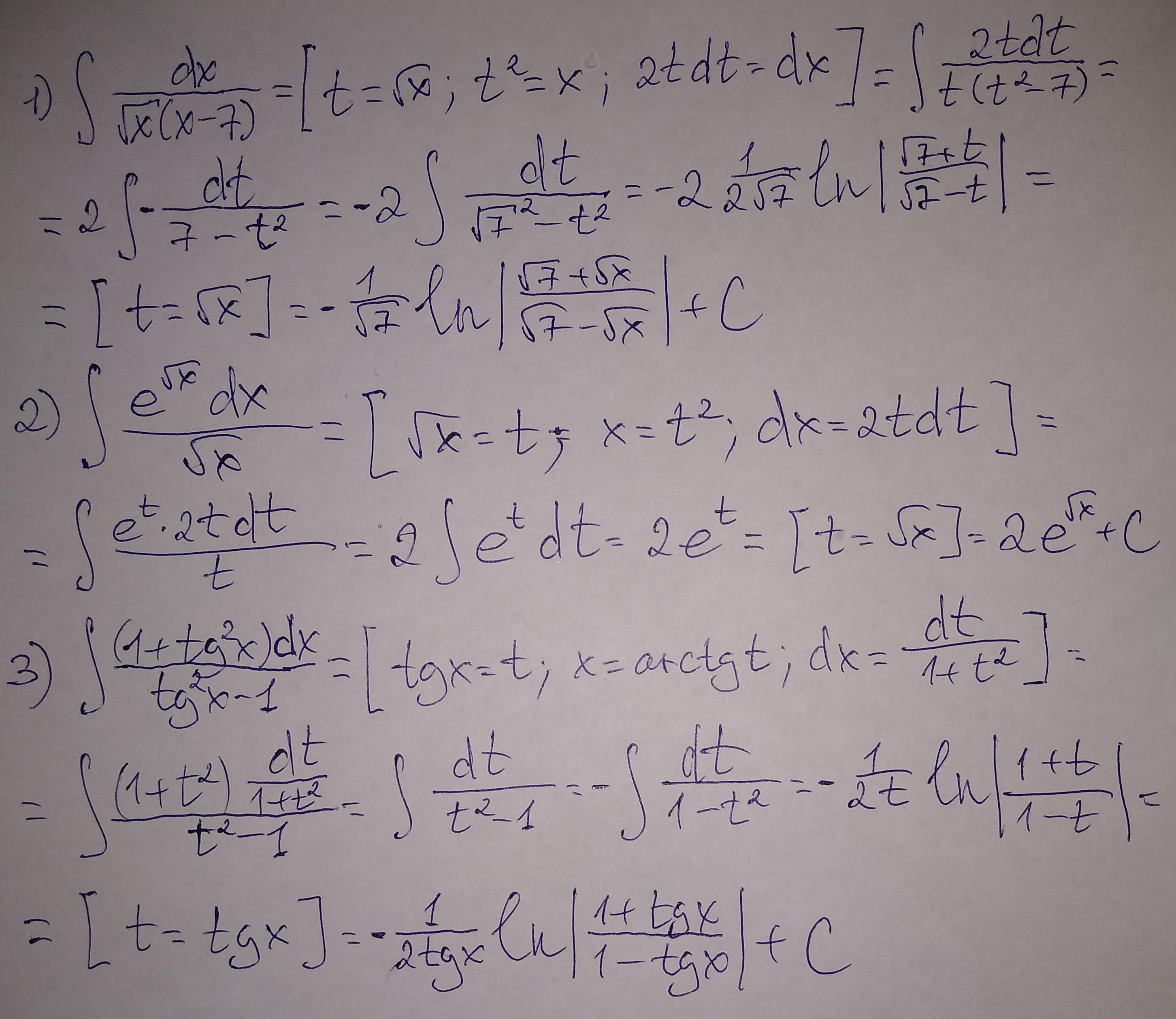
1
Відповідь:
Пояснення:
Приложения:
Похожие вопросы
Предмет: Қазақ тiлi,
автор: begmakhanov229
Предмет: Алгебра,
автор: platonvoronin228
Предмет: Английский язык,
автор: abuovaakzarkyn90
Предмет: География,
автор: tarasxio14
Предмет: Физика,
автор: violettakonkova73