Предмет: Математика,
автор: Zharulkap
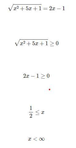
√х²+5х+1+1=2х
√х+2=2+√х-6
√3х-2=√х-2+2
√22-х-√10-х=2
Ребята срочно нужно помогите пж
нужно решение
Приложения:
gasevky:
Это алгебра, ну ладно
ну ничего страшного
Ответы
Автор ответа:
1
Ответ:
1) x2 = 3
2) x1 = 7
3) x = -2
4) Извини, не знаю.
Пошаговое объяснение:
Приложения:
правильно?
Должно быть правильно
Да?
Но я не уверен, тут сложновато
на фото непонятно, какой первый, а какой второй отчет
Ща
Похожие вопросы
Предмет: Английский язык,
автор: Аноним
Предмет: Физика,
автор: mrdarklord56
Предмет: Математика,
автор: fragment0510
Предмет: Английский язык,
автор: laracka777