Предмет: Алгебра, автор: sheld153477

Спростіть вираз 2m/m-3+m/m+3+2m²/9-m²​
РАСПИШИТЕ!!!!!
(100 баллов)

Ответы

Автор ответа: tetamotatetyamotya
1

Ответ:вот

Объяснение:

Приложения:

tetamotatetyamotya: На здоровье
Автор ответа: sergeevaolga5
1

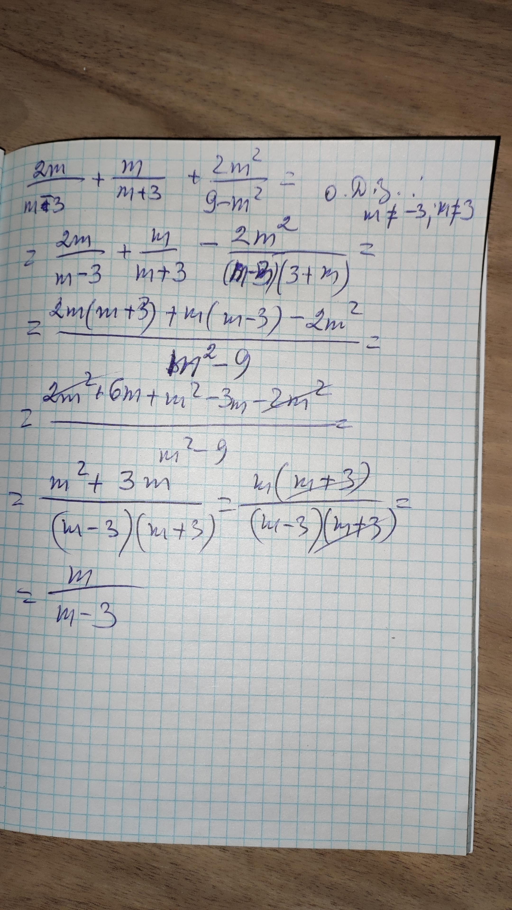
Ответ:

\frac{m}{m-3}

Объяснение:

\frac{2m}{m-3}+\frac{m}{m+3}+\frac{2m^2}{9-m^2}=\\\\=\frac{2m}{m-3}+\frac{m}{m+3}-\frac{2m^2}{m^2-9}=\\\\=\frac{2m}{m-3}+\frac{m}{m+3}-\frac{2m^2}{(m-3)(m+3)}=\\\\=\frac{2m(m+3)}{(m-3)(m+3)}+\frac{m(m-3)}{(m-3)(m+3)}-\frac{2m^2}{(m-3)(m+3)}=\\\\=\frac{2m^2+6m+m^2-3m-2m^2}{(m-3)(m+3)}=\\\\=\frac{m^2+3m}{(m-3)(m+3)}=\\\\=\frac{m(m+3)}{(m-3)(m+3)}=\\\\=\frac{m}{m-3}

Формула для решения - разность квадратов:

a^2-b^2=(a-b)(a+b)

Похожие вопросы
Предмет: Биология, автор: aliona2710vasil
Допоможіть будь ласка!!!!!
Узагальнюючі завдання до теми «Біологія як основа біотехнології та медицини»
У завданнях 1—12 оберіть одну правильну відповідь.

1. Центри походження культурних рослин виявив:

а) М. Вавілов

б) Ч. Дарвін

в) Г. Мендель

г) Т. Морган

2. Центром походження рису є:

а) Середземноморський

б) Ефіопський

в) Центральноамериканський

г) Індо-малайський

3. Центром походження картоплі є:

а) Індійський

б) Південноамериканський

в) Центральноамериканський

г) Середньоазіатський

4. В Америці було одомашнено:

а) вівцю

б) коня

в) індика

г) курку

5. Раніше за інших тварин було одомашнено:

а) кішку

б) собаку

в) коня

г) верблюда

6. За допомогою мікроорганізмів виробляють:

а) молоко

б) сало

в) каву

г) хліб

7. Методи створення нових сортів рослин розробляє наука:

а) біотехнологія

б) селекція

в) генетика

г) цитологія

8. Сукупність промислових методів, які застосовують для виробництва різних речовин з використанням живих організмів, біологічних процесів чи явищ, — це:

а) штучний добір

б) молекулярна біологія

в) селекція

г) біотехнологія

9. Галузь біотехнології, яка розробляє й використовує технології культивування клітин і тканин поза організмом у штучних умовах, — це:

а) генетична інженерія

б) селекція

в) клітинна інженерія

г) генна терапія

10. Генетично модифіковані організми — це організми, генотип яких було змінено за допомогою методів:

а) радіаційного мутагенезу

б) генетичної інженерії

в) клітинної інженерії

г) класичної селекції

11. Процес змін популяцій рослин або тварин, завдяки якому вони стають пристосованими до утримання в неволі й використання їх людиною, — це:

а) конвергенція

б) природний добір

в) генна терапія

г) одомашнення

12. Спеціальна молекула ДНК, сконструйована на основі ДНК вірусів або плазмід, яка містить потрібний ген, здатна транспортувати його в клітину й забезпечити його вбудовування в її генетичний апарат, — це:

а) оперон

б) ген

в) вектор

г) екзон

14. Установіть відповідність між процесами та технологіями, до яких вони належать.

Процеси

1 генна терапія

2 виробництво сиру

3 виробництво кефіру

4 одержання ГМО

5 одержання гібридом

6 виробництво хліба

Технології

а) технології одержання рекомбінантних ДНК

б) технології клітинної інженерії

в) технології з використанням процесів бродіння

15. Порівняйте класичну селекцію і технології з використанням рекомбінантної ДНК.

16. Поясніть, які перспективи має використання ГМО в медицині.
Предмет: Литература, автор: ytplamyk
Предмет: Алгебра, автор: protorchinaksenia