Предмет: Алгебра,
автор: stasyambaba
дам 30 балів будь ласка, швидше!!
Приложения:
Ответы
Автор ответа:
1
Ответ:
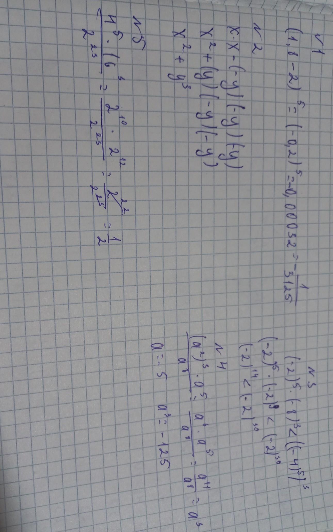
ответ дан на фото
Объяснение:
пж можно лучший ответ
Приложения:
stasyambaba:
спасибо❤️❤️❤️ а как сделать ( лучший ответ)?
не знаю, честно, вопросы не задавал, но ничего страшного, надеюсь мойотве тебе помог
Похожие вопросы
Предмет: Химия,
автор: didyxvolodumur22
Предмет: Другие предметы,
автор: bogdanter2019
Предмет: Қазақ тiлi,
автор: mokankirill295
Предмет: Физика,
автор: yelly0000
Предмет: Английский язык,
автор: arsenkovbel20