Предмет: Математика,
автор: nettaeinstein
Помогите пожалуйста срочно
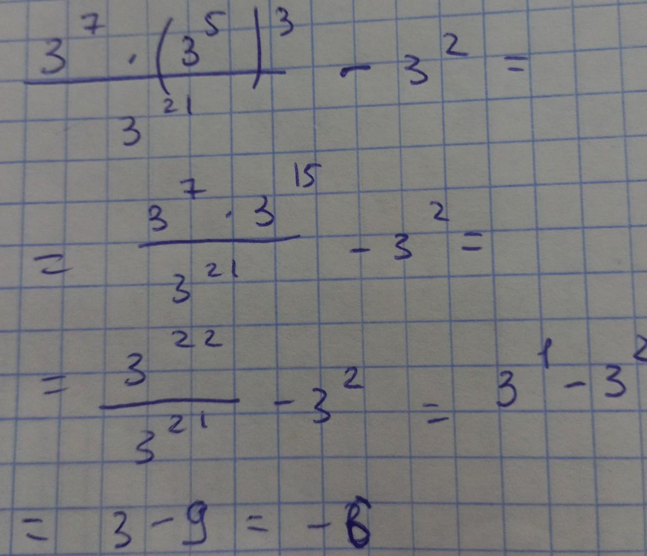
Вычеслети значение выражения
3 в 7 степени · (3 в 5 степени)³
__________________________ - 3 ²
3 в 21 степени
Ответы
Автор ответа:
0
степень в степень когда - умножается, а когда умножаем с одинаковым основанием - складываем степени, ответ -6
Приложения:
Похожие вопросы
Предмет: Химия,
автор: Аноним
Предмет: Математика,
автор: andreymantain
Предмет: Українська література,
автор: viktoria6164
Предмет: Русский язык,
автор: hardyhecka
Предмет: Английский язык,
автор: stankovaiulia