Предмет: Физика, автор: lanarrkovna

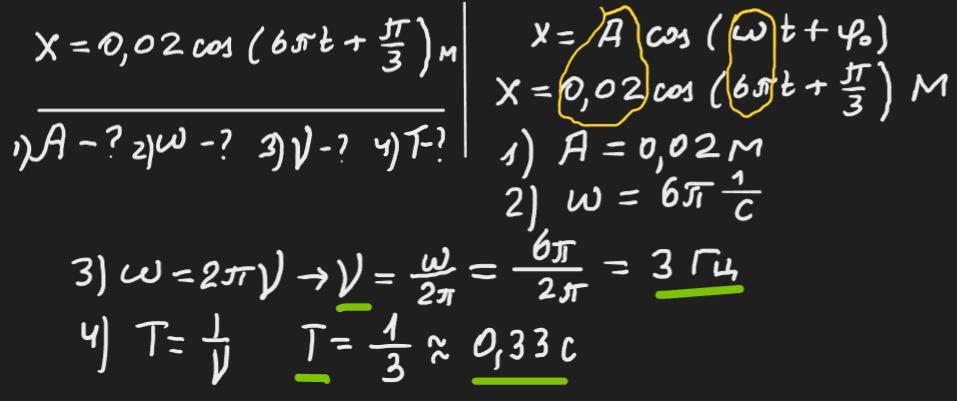
Гармонічні коливання величини х описується рівнянням
х = 0,02 cos (6πt + π/3), м. Знайти: 1) амплітуду; 2) циклічну частоту;
3) частоту; 4) період коливань.

Ответы

Автор ответа: zybkov1950
1

Відповідь: Див. додаток

Пояснення:

Приложения:

lanarrkovna: дякую!!
Похожие вопросы
Предмет: Литература, автор: oon1976abc
ПОМОГИТЕ ПОЖАЛУЙСТА СРОЧНО УМОЛЯЮ ПРОШУ ДАЮ 100

5. Як називалася країна, в якій жив лицар Като (повість А. Ліндґрен «Міо, мій Міо»):
а) Країна Лиха;
б) Країна Іноземна;
в) Країна Чужинецька;
г
7. Як Міо та Юм-Юм домовилися кликати один одного (повість А. Ліндґрен «Міо, мій Міо»):
а) грати на сопілці;
б) стукати в барабан;
в) сурмити у трубу;
г) запалити вогнище.
8. Як Като вирішив покарати Міо та Юм-Юма (повість А. Ліндґрен «Міо, мій Міо»):
а) зморити спрагою;
б) зморити холодом;
в) зморити страхом;
г) зморити голодом.
9. Як звали коня, якого батько-король подарував Міо:
а) Міраміс;
б) Карагез;
в) Калле-Джигун.
10. Чим пані Бартолотті писала собі нагадування (повість К. Нестлінґер «Конрад, або Дитина з бляшанки»):
а) губною помадою;
б) фломастером;
а) ручкою;
г) олівцем.
11. Чим заробляла пані Бартолотті (повість К. Нестлінґер «Конрад, або Дитина з бляшанки»):
а) плела на спицях;
б) шила одяг;
в) ткала килими;
г) малювала картини.
12. Як зазнав поразки лицар Като:
а) Міо проштрикнув наскрізь кам’яне серце лицаря і від нього залишилася купа каміння;
б) Міо відрубав голову лицарю Като і він зник, перетворившись на купу каміння;
в) Міо вдарив мечем лицаря Като і він перетворився на залізну пташку;
г) Міо зіштовхнув його зі скелі.
13. Якою була мета поїздки Міо до Країни Чужинецької (повість А. Ліндґрен «Міо, мій Міо»)?
14. Що робив лицар Като з тими, хто не корився йому (повість А. Ліндґрен «Міо, мій Міо»)?
15. Які чарівні речі допомогли Міо здобути перемогу?
16. Як Конрад зустрів звістку про те, що йде до школи (повість К. Нестлінґер «Конрад, або Дитина з бляшанки»)?
17. З якими труднощами зіткнувся Конрад у шкільному колективі? У чому причина труднощів? Наведіть приклади з твору.
18. Чого навчають і які якості виховують у нас твори А. Ліндґрен, К. Нестлінґер?
19. Дайте розгорнуту відповідь на запитання: «Як слід виховувати дитину, щоб вона виросла повноцінною щасливою особистістю?»
1. Закінчіть речення.
а) різновид фантастичної літератури, заснований на використанні міфологічних і казкових сюжетів, образів, мотивів – це..;
б) різновид роману, у якому фантастичні елементи є провідними й виявляються в сюжетах, образах, часі, просторі – це…;
в) художній твір, у якому поєднуються ознаки повісті й казки – це...
2. Хто з письменників працював ілюстратором книжок для дорослих:
а) А. Ліндгрен; б) М. Енде; в) К. Неслінгер; г) Р. Шеклі.
3. Крістіне Нестлінгер відзначено понад тридцятьма літературними преміями, серед яких Премія імені Г. К. Андерсена та Премія пам'яті … .
а) Івана Крилова; б) Чарльза Діккенса; в)Астрід Ліндгрен; г) Жуля Верна.
4. Чого не вистачало Міо у Країні Далекій (повість А. Ліндґрен «Міо, мій Міо»):
а) дружби;
б) сонця;
в) тепла;
г) грошей.
5. Як називалася країна, в якій жив лицар Като (повість А. Ліндґрен «Міо, мій Міо»):
а) Країна Лиха;
б) Країна Іноземна;
в) Країна Чужинецька;
г) Країна Невідома.
6. Що зробив Нонно для
7. Як Міо та Юм-Юм домовилися кликати один одного (повість А. Ліндґрен «Міо, мій Міо»):
а) грати на сопілці;
б) стукати в барабан;
в) сурмити у трубу;
г) запалити вогнище.
8. Як Като вирішив покарати Міо та Юм-Юма (повість А. Ліндґрен «Міо, мій Міо»):
а) зморити спрагою;
б) зморити холодом;
в) зморити страхом;
г) зморити голодом.
9. Як звали коня, якого батько-король подарував Міо:
а) Міраміс;
б) Карагез;
в) Калле-Джигун.
10. Чим пані Бартолотті писала собі нагадування (повість К. Нестлінґер «Конрад, або Дитина з бляшанки»):
а) губною помадою;
б) фломастером;
а) ручкою;
г) олівцем.
11. Чим заробляла пані Бартолотті (повість К. Нестлінґер «Конрад, або Дитина з бляшанки»):
а) плела на спицях;
б) шила одяг;
в) ткала килими;
г) малювала картини.
12. Як зазнав поразки лицар Като:
а) Міо проштрикнув наскрізь кам’яне серце лицаря і від нього залишилася купа каміння;
б) Міо відрубав голову лицарю Като і він зник, перетворившись на купу каміння;
в) Міо вдарив мечем лицаря Като і він перетворився на залізну пташку;
г) Міо зіштовхнув його зі скелі.
13. Якою була мета поїздки Міо до Країни Чужинецької (повість А. Ліндґрен «Міо, мій Міо»)?
14. Що робив лицар Като з тими, хто не корився йому (повість А. Ліндґрен «Міо, мій Міо»)?
15. Які чарівні речі допомогли Міо здобути перемогу?
16. Як Конрад зустрів звістку про те, що йде до школи (повість К. Нестлінґер «Конрад, або Дитина з бляшанки»)?
17. З якими труднощами зіткнувся Конрад у шкільному колективі? У чому причина труднощів? Наведіть приклади з твору.
18. Чого навчають і які якості виховують у нас твори А. Ліндґрен, К. Нестлінґер?
19. Дайте розгорнуту відповідь на запитання: «Як слід виховувати дитину, щоб вона виросла повноцінною щасливою особистістю?»
Предмет: Математика, автор: TORMINATOR
Предмет: Информатика, автор: adina200821