Предмет: Алгебра,
автор: aeeoo134
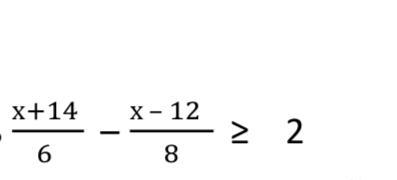
Розв’яжіть нерівність
Задание на фото
Срочно!
Приложения:
Ответы
Автор ответа:
0
(умножить обе части на 24)
=4(х+14)-3(х-12)≥48
4х+56-3х+36≥48
х+92≥48
х≥48-92
х≥-44
Автор ответа:
0
Объяснение:
розкрий дужки****************
Приложения:
Похожие вопросы
Предмет: Литература,
автор: tvan55
Предмет: История,
автор: lanovenkotysia
Предмет: Українська мова,
автор: kenezzmykhailo
Предмет: Геометрия,
автор: baimakishevgmailcom