Предмет: Алгебра,
автор: darjast7
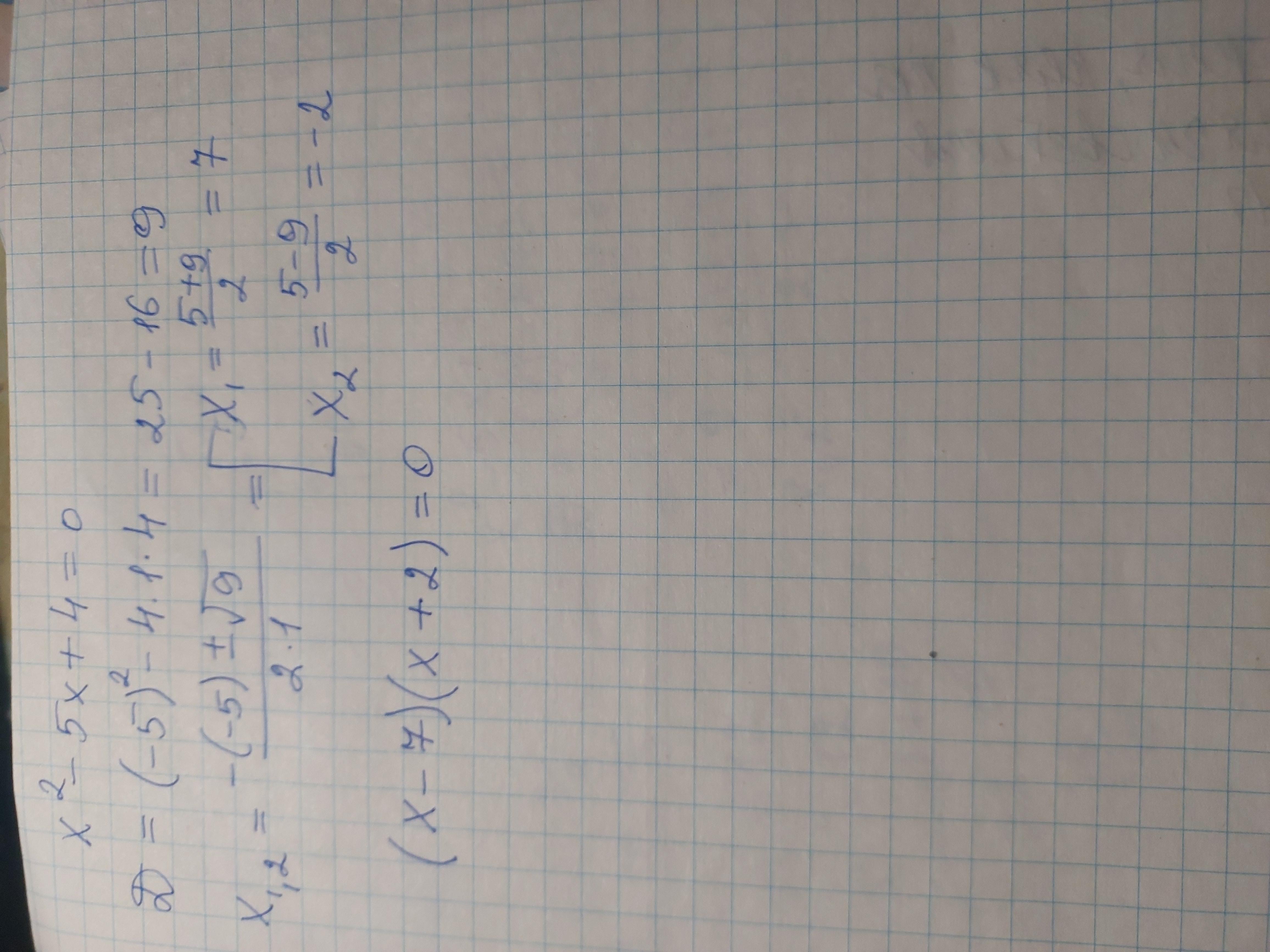
ПОЖАЛУЙСТА ОЧЕНЬ СРОЧНО!!!!!! У МЕНЯ КР розкладіть на множники тричлен
х2 - 5х + 4.
Ответы
Автор ответа:
1
Ответ: смотри фото
Объяснение:
Приложения:
Похожие вопросы
Предмет: Другие предметы,
автор: user26485
Предмет: Физика,
автор: komarovaolga068
Предмет: Қазақ тiлi,
автор: y886462
Предмет: Биология,
автор: spinnervlad48
Предмет: Математика,
автор: SEVA555555