Предмет: Алгебра,
автор: kamillagrabar
Помогите, срочно! пжжж
Приложения:
Ответы
Автор ответа:
1
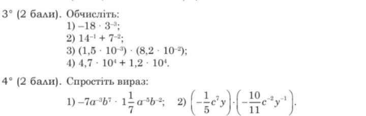
Ответ:
номер 1
1) - 2
2)9/98
3)1,23×10^-4
4)59000
номер 2
*на фото*
Приложения:
Похожие вопросы
Предмет: Информатика,
автор: gulnazelzanova93
Предмет: Биология,
автор: kolafifa2019
Предмет: Математика,
автор: znurlan8215
Предмет: Химия,
автор: murinovasawle
Предмет: Английский язык,
автор: Аноним