Предмет: Математика,
автор: zarkoanna0
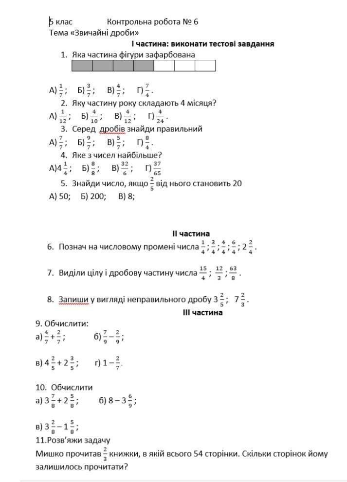
пожалуйста ответьте на вопросы,фото прикреплено ниже дам 20 балов
Приложения:
Ответы
Автор ответа:
1
Ответ:
1 В
2 В
3 В
4 В
5 А
только первую часть, по большому на 2,3 часть надо писать в зошите
можно лучш ответ?
imcontersakura:
я сам не понимаю как 1-4 - В
Похожие вопросы
Предмет: Українська література,
автор: bogdanamadar36
Предмет: Английский язык,
автор: lolpoltp
Предмет: Английский язык,
автор: bojko7283
Предмет: География,
автор: galimovtimka