Предмет: Физика,
автор: yrckatya22072006
Пж срочно помогите с физикой
10 класс даю 50 баллов
Только распишите(надо сдать с объяснением)
Задача:
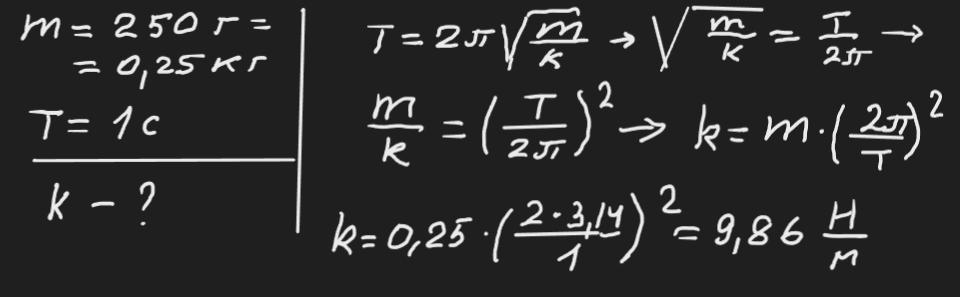
Яку жорсткість має пружина, якщо маса тягарця дорівнює 250 г, а період його коливань 1 с.
Ответы
Автор ответа:
0
Відповідь: ≈9,86 Н/м
Пояснення:
Приложения:
Похожие вопросы
Предмет: Английский язык,
автор: bojko7283
Предмет: Другие предметы,
автор: kenanbadavi
Предмет: Литература,
автор: kvitkakvitocka5
Предмет: Английский язык,
автор: elenalemeshkova8
Предмет: Русский язык,
автор: merigasparyan899