Предмет: Алгебра, автор: русская25

Вычислите!
Пожалуйста,с полным решением...

Приложения:

Ответы

Автор ответа: fanat2
0
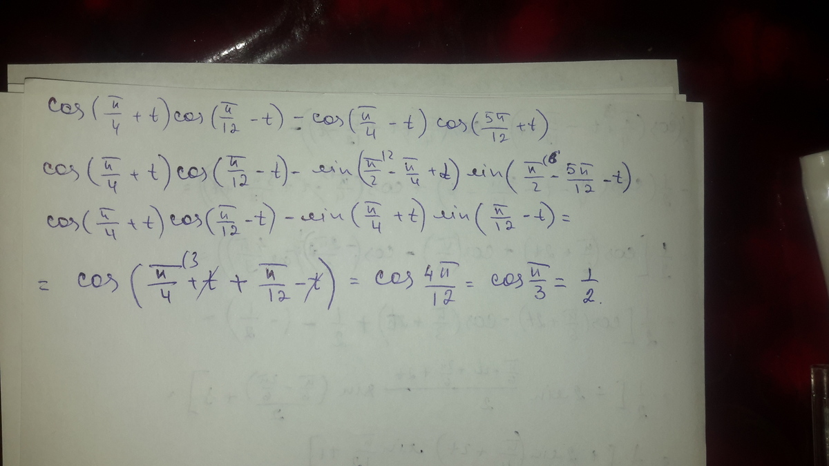
решение приведено во вложении
Приложения:
Автор ответа: русская25
0
Огромное спасибо)
Автор ответа: prostomama1
0
""""""""""""""""""""""""""""""""""""""
Приложения:
Автор ответа: русская25
0
Спасибо большое за помощь!)
Похожие вопросы
Предмет: Қазақ тiлi, автор: Аноним
Предмет: Русский язык, автор: premierbek1