Предмет: Алгебра,
автор: antonstarusov
ДАЮ 100 БАЛОВ
задание на фото
Приложения:
Ответы
Автор ответа:
0
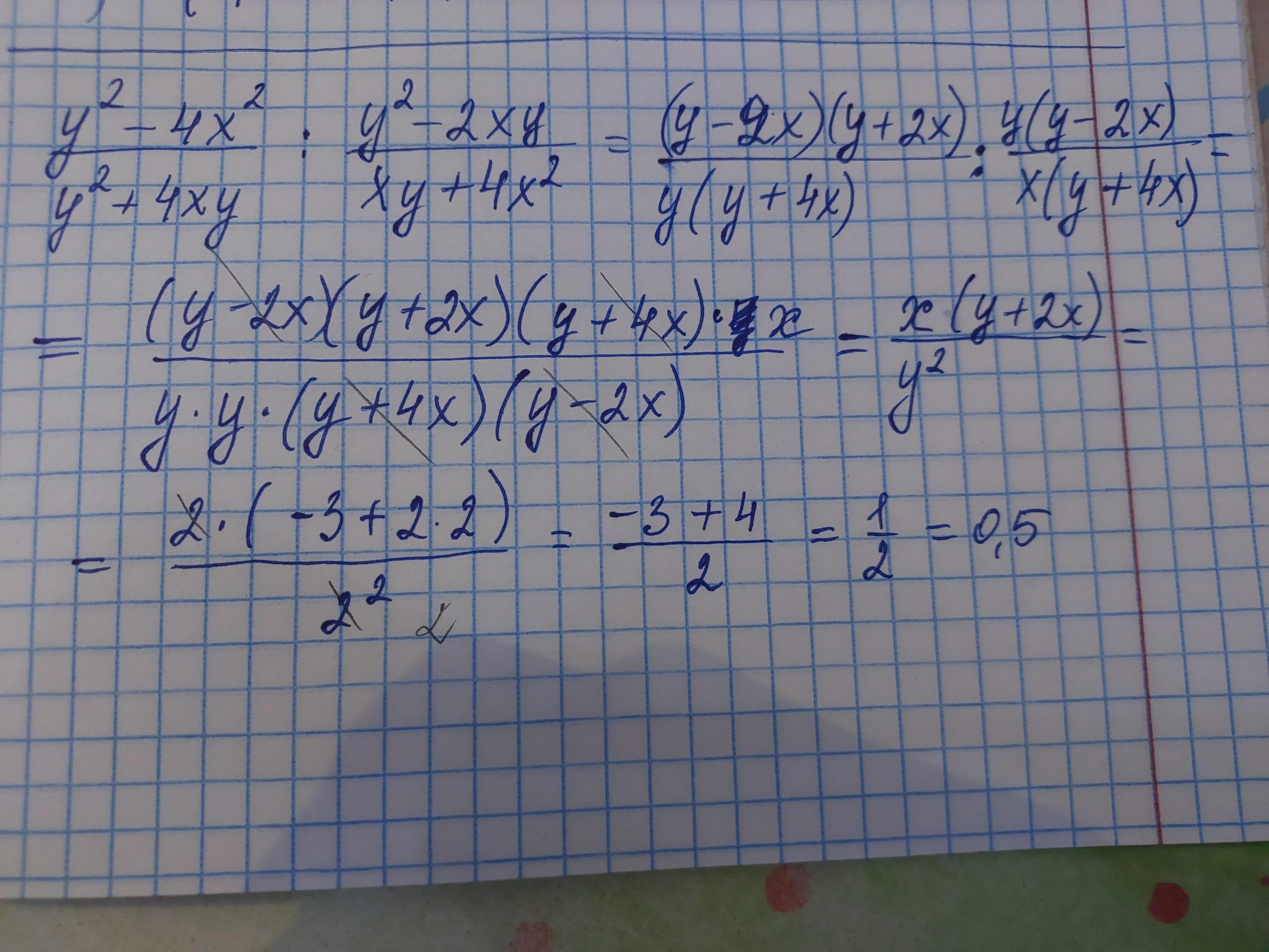
Ответ:смотри
Объяснение:
Приложения:
Похожие вопросы
Предмет: История,
автор: anon29284
Предмет: Другие предметы,
автор: Danilkajohepb
Предмет: Математика,
автор: batyrkhankyz
Предмет: Другие предметы,
автор: abdulloxergashev123
Предмет: Қазақ тiлi,
автор: firsova78