Предмет: Алгебра,
автор: evgenijsabanov481
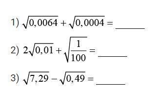
Помогите решить примеры
Приложения:
Ответы
Автор ответа:
0
Ответ:
1)0,1
2)сорри не знаю
3)2
Автор ответа:
0
Ответ:
1) =0,1
2) =0,3
3) =2
Объяснение:
надеюсь помогло
Похожие вопросы
Предмет: Другие предметы,
автор: l61327468
Предмет: Українська мова,
автор: hrozan1000000
Предмет: География,
автор: hhhppssjjs
Предмет: Алгебра,
автор: vovkalinaaa
Предмет: Английский язык,
автор: Аноним