Предмет: Химия,
автор: rashidkgyuikov
помогите,пожалуйста
Приложения:
Ответы
Автор ответа:
3
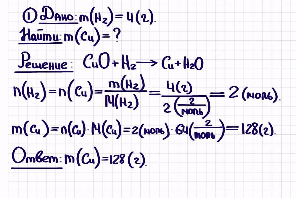
Решение задач прикреплено в файле.
Приложения:
rashidkgyuikov:
спасибо большое что помогли!
пожалуйста!
можешь пожалуйста помочь с химией?
Похожие вопросы
Предмет: Математика,
автор: michailosaray
Предмет: Математика,
автор: Lochxx
Предмет: Қазақ тiлi,
автор: rozenbergselis
Предмет: Физика,
автор: aleksandraurchenko
Предмет: Английский язык,
автор: Аноним