Предмет: Физика,
автор: cemen220807220807
5 задание СРОЧНО!!!!!!!!!!!!!!
Приложения:
Ответы
Автор ответа:
6
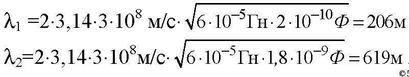
Ответ:
206 — 619 м.
Объяснение:
ответ прикрипила
Приложения:
Похожие вопросы
Предмет: Қазақ тiлi,
автор: rozenbergselis
Предмет: Химия,
автор: alisazaviruhina
Предмет: Английский язык,
автор: kad63506
Предмет: Биология,
автор: Аноним
Предмет: Английский язык,
автор: student6160