Предмет: Математика,
автор: mariyakapeliukha
ПОМОГИТЕ ОЧЕНЬ СРОЧНО!
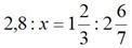
Знайти невідомий член пропорції:
Приложения:
Ответы
Автор ответа:
0
Ответ:
Пошаговое объяснение:за властивостями нерівностей
1 2/3*х=2,8*2 6/7
5/3х=14/5*20/7
5/3х=2/1*4/1
5/3х=8
х=8:5/3=8*3/5=24/5=4 4/5
Похожие вопросы
Предмет: Українська мова,
автор: Nazarcat
Предмет: Українська мова,
автор: zahlopnylatymby
Предмет: Алгебра,
автор: i06306297
Предмет: Русский язык,
автор: sofa7rr