Предмет: Математика,
автор: sljokererzan
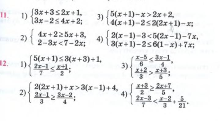
3x+3<2x+1
3x-2<4x+2 решите но только через систему вот эту {
Приложения:
Ответы
Автор ответа:
0
Ответ:
Відповідь на фото: х є (-4;-2)
Приложения:
Похожие вопросы
Предмет: Биология,
автор: bmtvej7710
Предмет: Английский язык,
автор: darsssi
Предмет: Английский язык,
автор: kukurakbogdan
Предмет: Музыка,
автор: nhftdsyhhjjgt64789
Предмет: Математика,
автор: marinakozyreva230