Предмет: Физика, автор: tvojkr832


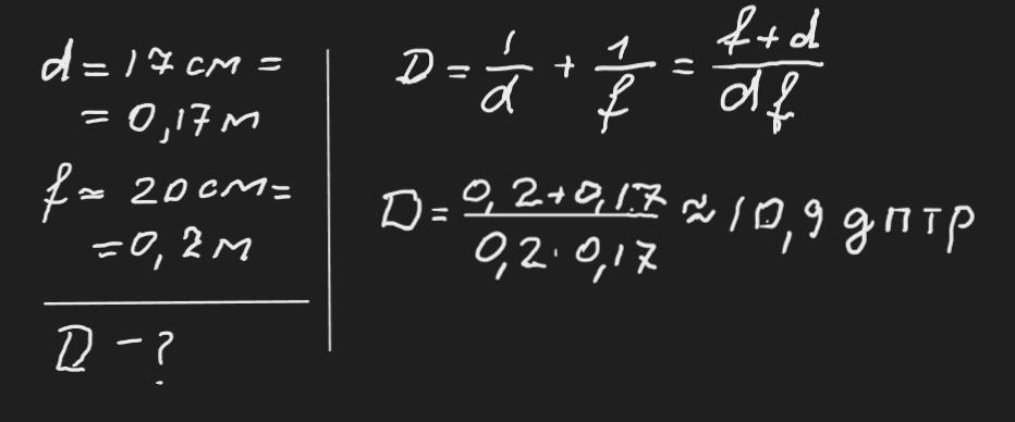
ДАМ БАГАТО МОНЕТ ТІЛЬКИ ЗРОБІТЬ!!4. Лампа розташована на відстані 17 см від збиральної лінзи. Яка оптична сила лінзи, якщо дійсне зображення лампи міститься на відстані 20 см від лінзи.​

Ответы

Автор ответа: zybkov1950
1

Відповідь: ≈10,9 дптр

Пояснення:

Приложения:
Похожие вопросы
Предмет: Физика, автор: crazyychan228
1.яку роботу виконує електричний струм у лампочці кишенькового ліхтаря за 1 хвилину якщо напруга 4В,а сила струму 0,3 А
12Дж
18Дж
1,2Дж
72Дж
2.Під час сріблення прикрас на них виділилося 672 мг срібла. Скільки часу тривав електроліз, якщо він проходив при силі струму 2 А? (Електрохімічний еквівалент срібла 1,12 мг/Кл.) У відповіді записати лише числове значення у секундах. 

3.Чому дорівнює напруга на кінцях провідника, якщо при проходженні по ньому електричного струму  4 А протягом 5 хвилин, виділяється 240 кДж теплоти? 
120В
192В
300В
200В
4.Чому дроти, що підводять електричний струм до електричної плитки , нагріваються так сильно як спіраль електричної плитки?

Дроти, що підводять електричний струм до електроплитки, не нагріваються так само як спіраль електроплитки через _ (Варіанти: більший; менший) питомий опір дротів.

Пожалуйста помогите,это очень срочно,от этого зависит годовая оценка.Спасибо за внимание.​
Предмет: Окружающий мир, автор: Eve040609