Предмет: Алгебра,
автор: haziyevnamik
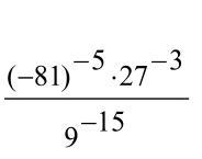
Обчисліть: (-81)^-5•27^-3/9^-15
Пожалуйста помогите
Приложения:
Ответы
Автор ответа:
1
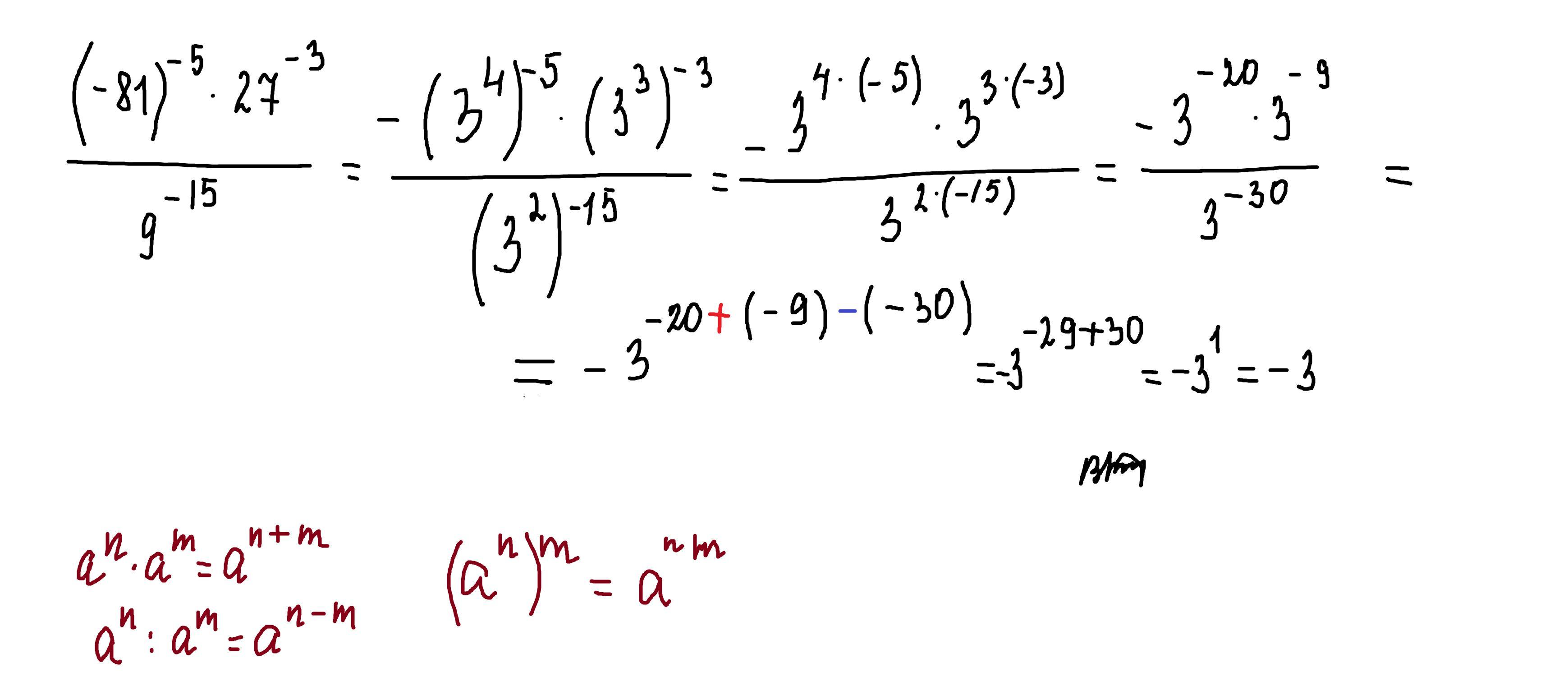
Ответ:
-3
Объяснение:
решение и формулы внизу
Приложения:
Похожие вопросы
Предмет: Алгебра,
автор: Anastasia957
Предмет: Английский язык,
автор: 9xxjfzm6ht
Предмет: Литература,
автор: kolesnikirina992
Предмет: Алгебра,
автор: elya13791
Предмет: Литература,
автор: Аноним