Предмет: Алгебра,
автор: laninaa932
ГЛАВНЫЙ МОЗГ ИЛИ ОТЛИЧНИКИ Помогите пожалуйста 5,9,12
Приложения:
Ответы
Автор ответа:
1
Ответ:
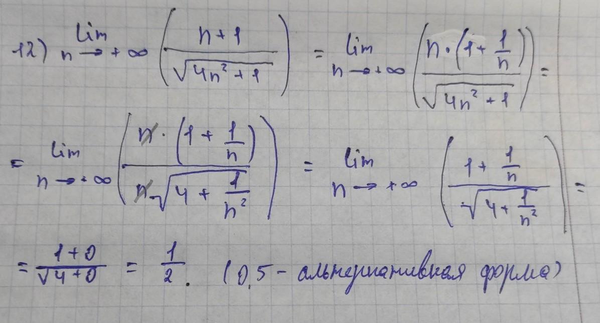
Надеюсь фотка с решением 12го подкрепилась, а то что-то она здесь у меня не отсвечивается...
Приложения:
Shut18:
на то задание уже кто-то ответил, я не смогу прикрепить свой ответ
√1+2*0+0/0-2 последнее в девятом
спасибо
я щас тогда заново задам
не доверяю тому ответу
я задала https://znanija.com/task/51373767
Прости, долго делала. Училка по зарубе мозг полоскала. Берет усные задания и возвращает, отговариваясь тем что "ну тут же ничего не прикреплено". ухх
♀️♀️♀️
удачи тебе с училкой
можешь ответить на мой коммент под другми заданиями пж
Похожие вопросы
Предмет: Математика,
автор: iubajdullaeva438
Предмет: Українська мова,
автор: masha86293
Предмет: Қазақ тiлi,
автор: lukpanayaulym12
Предмет: Окружающий мир,
автор: dariapivrikaite