Предмет: Математика,
автор: eva3062
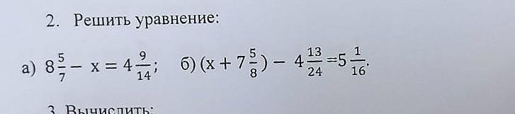
пожалуйста помогите решить уравнение
Приложения:
Ответы
Автор ответа:
1
Ответ: а)x=14/57=4 : 1/14=4.071428571
б)x= 95/48=1 : 47/48= 1.979166667
если что тут не делить
Похожие вопросы
Предмет: Қазақ тiлi,
автор: aishaerezhep
Предмет: Английский язык,
автор: kamilyazamm
Предмет: Українська мова,
автор: vb561887
Предмет: Химия,
автор: dashik567
Предмет: История,
автор: seredenki