Предмет: Алгебра,
автор: dmitryeliz
найдите значение выражения х2 + 3х корень из 3 + 5, если х = корню из 3 + 1
Ответы
Автор ответа:
0
Ответ:
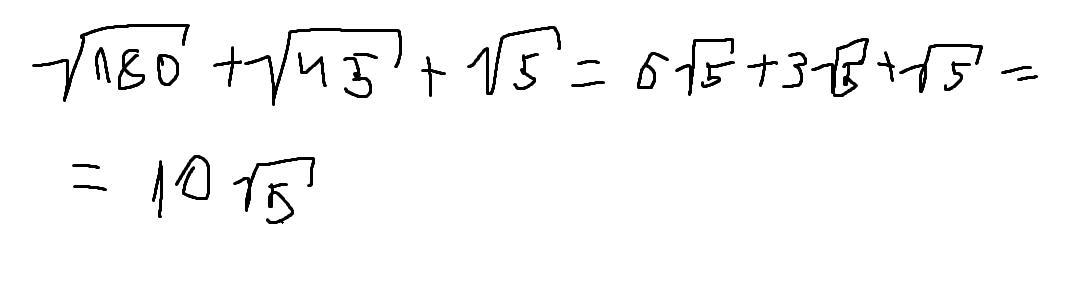
вот
Объяснение:
Приложения:
Автор ответа:
1
Если х = корню из 3 + 1, то х = √4 = 2.
Таким образом, значение выражения х2 + 3х корень из 3 + 5 равно 2^2 + 3*2√3 + 5 = 4 + 6√3 + 5 = 9 + 6√3.
Ответ: 9 + 6√3.
Похожие вопросы
Предмет: Українська мова,
автор: oliabkc
Предмет: Биология,
автор: iphonehappylife
Предмет: Математика,
автор: 9wat2tt
Предмет: Право,
автор: alismaile215
Предмет: Право,
автор: lena62958