Предмет: Алгебра,
автор: katetok89
УПРОСТИТЬ пж срочно !!!!!!!!!
Приложения:
Ответы
Автор ответа:
1
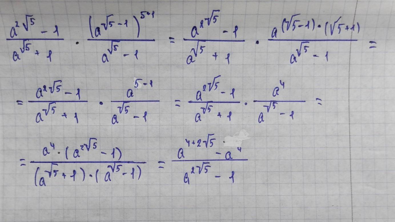
Решение на прикрепленной фотографии
Приложения:
Похожие вопросы
Предмет: Физика,
автор: ogoncarenko150
Предмет: Английский язык,
автор: sashakotuk3229
Предмет: Английский язык,
автор: siia28020
Предмет: Астрономия,
автор: Аноним
Предмет: Музыка,
автор: naxyo