Предмет: Математика,
автор: ayokalubitpersiki
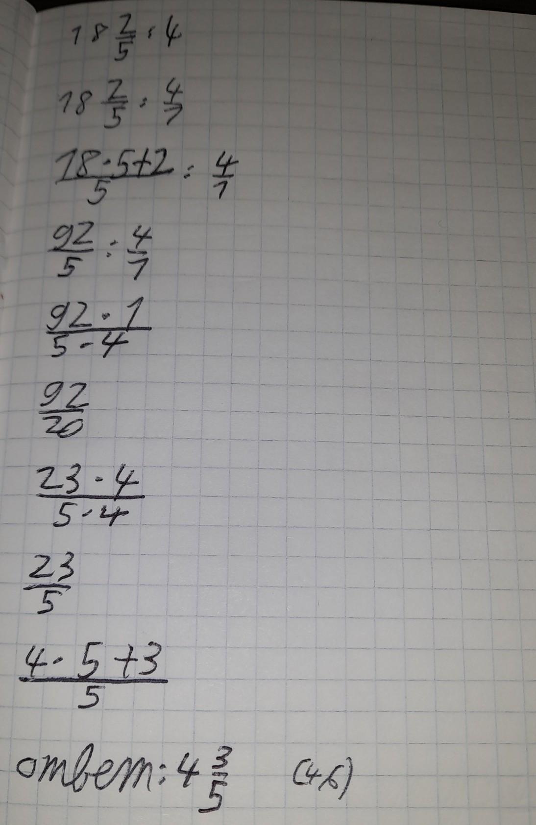
18 2/5:4
Помогите пожалуйста
Ответы
Автор ответа:
1
Пошаговое объяснение:
....................
Приложения:
Автор ответа:
1
Ответ:
смотри на фото
Пошаговое объяснение:
подпишись пж
Приложения:
Похожие вопросы
Предмет: Окружающий мир,
автор: viktoriaherbina5225
Предмет: Английский язык,
автор: BonnaBoba
Предмет: Английский язык,
автор: lyshvam
Предмет: Українська мова,
автор: annyaivashenko