Предмет: Математика,
автор: nurahimovad
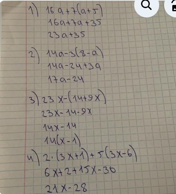
1. Упрости выражения:
а)16а+7(а+5)
б)14а-3(8-а)
в)23х-(14+9х)
г)2(3х+1) +5 (3х-6)
д)8х-(3,7х-2)+(1,2-5х)
е) -5/8а + 5/6в+3/8а-1/3в
СРОЧНО ДАМ 100 БАЛЛОВ
Ответы
Автор ответа:
0
Ответ:
а)16а+7а+35= 23а+35
б)14а-24+3а= 17а-24
в)23х-14-9х=14х-14
г)6х+2+15х-30=21х-28
д)8х-3.7х+2+1.2-5х=3.2-0.7х
e) -2/8а+(5-1×2)/6б= -2/8а+3/6б=-1/4а+1/2б=-2б+4а(изменено)
nurahimovad:
последнее не тоже
Автор ответа:
0
Пошаговое объяснение:
вот тортеуы
это правильнооо
Приложения:
в 1 это 5 или б ? СРОЧНО
Похожие вопросы
Предмет: Обществознание,
автор: bog07play70
Предмет: Математика,
автор: nikitinaa780
Предмет: Физика,
автор: lianazubanpunk2
Предмет: История,
автор: lilidavydova