Предмет: Алгебра,
автор: secretik31
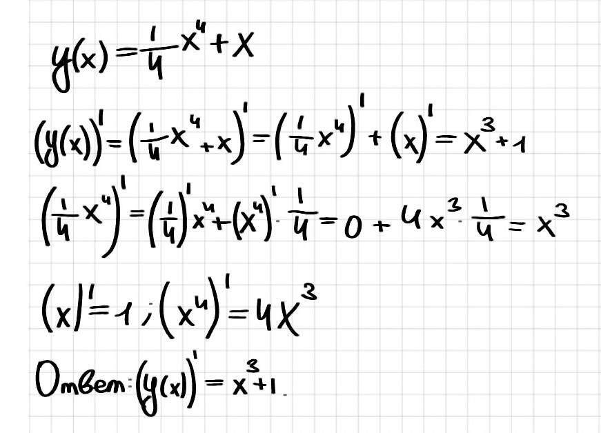
найдите производную функции f(x)=1/4 x^4+x
Ответы
Автор ответа:
1
Решение.
Производная степенной функции равна .
Автор ответа:
1
Ответ и решение на картинке.
Приложения:
Похожие вопросы
Предмет: Математика,
автор: miroslav2012k
Предмет: Информатика,
автор: Аноним
Предмет: Математика,
автор: yunker1979ta
Предмет: Химия,
автор: voskoboynikova1
Предмет: Английский язык,
автор: julus0304