Предмет: Алгебра,
автор: grendeitamara
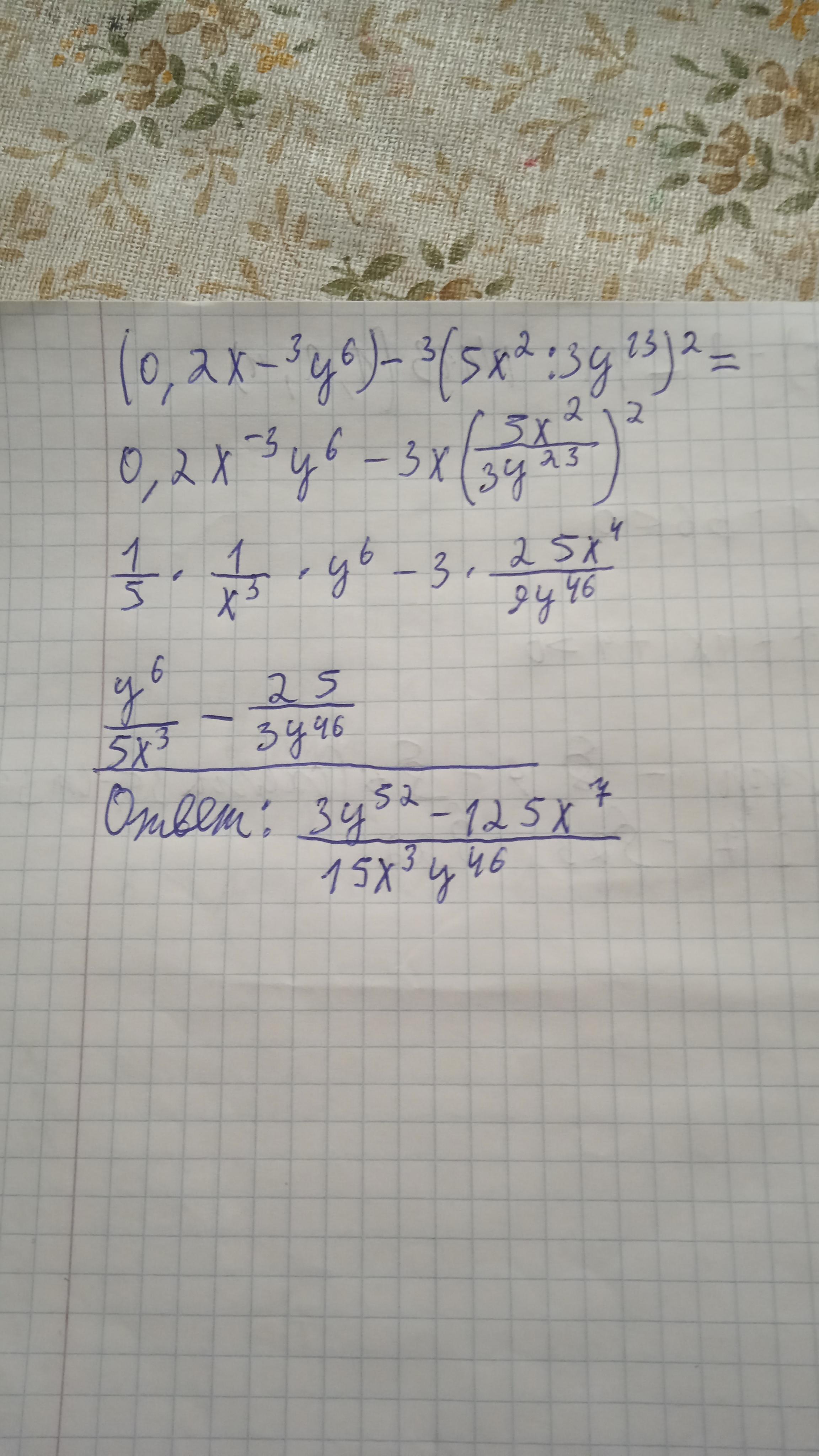
Перетворіть вираз так, щоб він не містив степенів з від'ємними показниками.
(0,2х-³у⁶)‐³*(5х²/3у¹³)-²
Срочно!!!!
Ответы
Автор ответа:
1
Відповідь:
Пояснення:
Приложения:
Похожие вопросы
Предмет: Английский язык,
автор: mauu10124
Предмет: Математика,
автор: Daha767
Предмет: Українська мова,
автор: alexnovit86
Предмет: Литература,
автор: Аноним