Предмет: Алгебра,
автор: kitty060cat
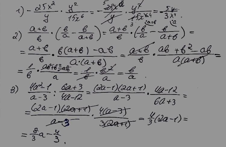
виконайте дії
БУДЬ ЛАСКА
ЦЕ СЕМЕСТРОВА!!!!
Приложения:
Ответы
Автор ответа:
1
дивіться фото.......................
Приложения:
kitty060cat:
дякуюююююююююююю
Похожие вопросы
Предмет: Физика,
автор: artemkirijcuk762
Предмет: Обществознание,
автор: dendenisenko0749
Предмет: Геометрия,
автор: papinadarina2009
Предмет: Математика,
автор: BIKITAU
Предмет: Английский язык,
автор: irinasapoznikova9898