Предмет: Физика, автор: anastasialisova481

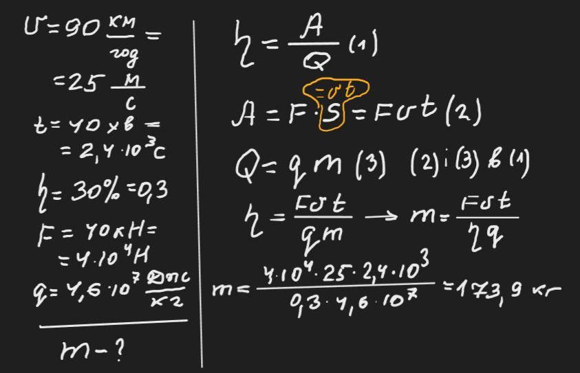
9. Автомобіль рухався зі швидкістю 90 км/год протягом 40 хв. ККД двигуна дорівнює 30 %. Визнач масу бензину, яку використав двигун автомобіля за час руху, якщо сила тяги двигуна становить 40 кН. ПОМОГИТЕ, ПОЖАЛУЙСТА, ДАМ 100 БАЛОВ И ЛУЧШИЙ ОТВЕТ!​

Ответы

Автор ответа: zybkov1950
6

Відповідь: 173,9 кг

Пояснення:

Приложения:
Похожие вопросы
Предмет: Русский язык, автор: elenagolubevaaa

Я сидел на берегу лесного озера. К воде свисали ветви берёз, голубое небо прокололи остроконечные ели. По опавшим листьям прошелестели лёгкие шажки. Я выглянул из шалаша и увидел рябчика. Вдруг над лесом мелькнула тень ястреба, и рябчик встрепенулся и исчез. Хищник промчался и улетел. Рябчик съёжился, прижался к земле и слился с общим фоном. Ястреб опять появился. Он сел на верхушку сухой ели, и у озера воцарилась тишина. Ястреб не выдержал мёртвой тишины и улетел. Сразу всё ожило. Замелькала над водой трясогузка, запищали и вспорхнули синицы.

(87 слов) (по Н. Устинович)

Грамматические задания

Выписать из диктанта сложное предложение. Подчеркнуть основы.
Первое предложение разобрать по членам предложения и частям речи. Выписать словосочетания.
Написать по одному имени существительному, имени прилагательному и глаголу такого состава: приставка, корень, суффикс, окончание.