Предмет: Математика,
автор: reie30e
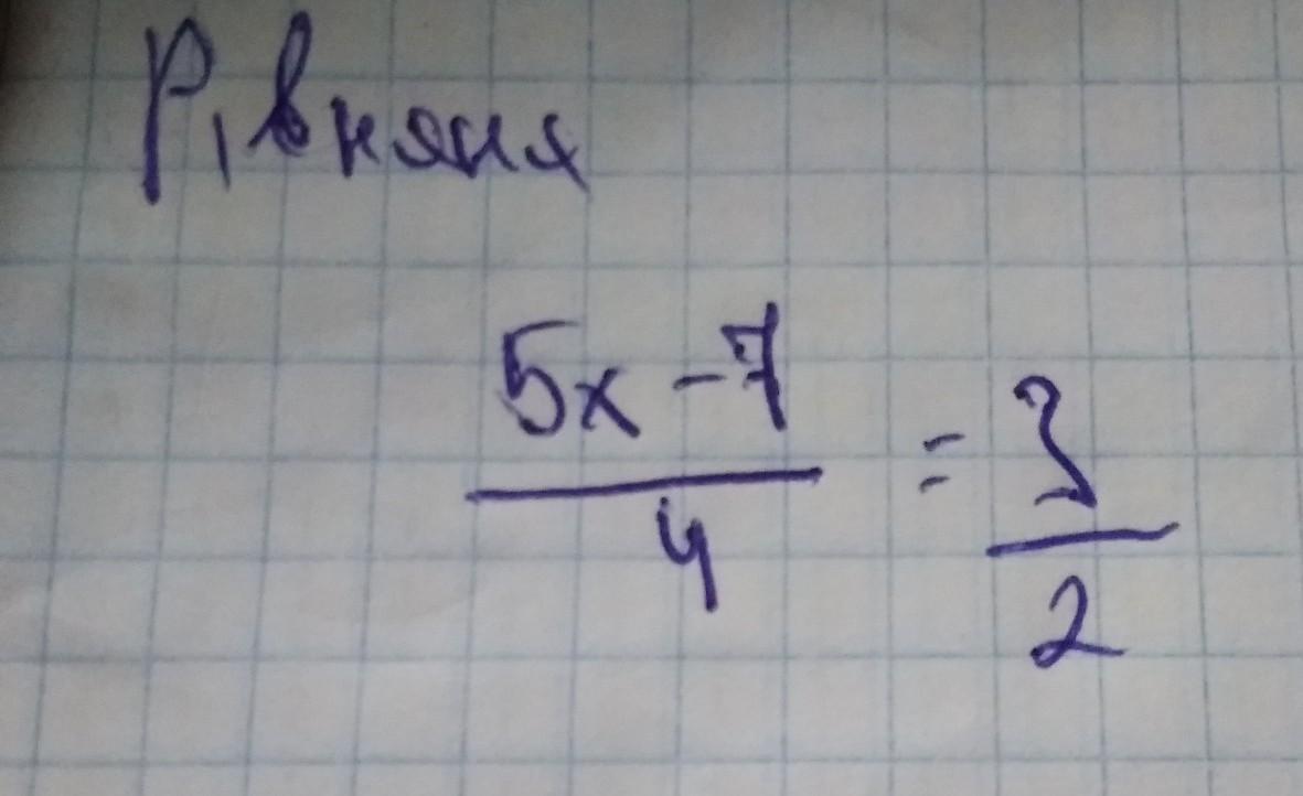
розвяжи рівняня Срочно пжпжпжпжпж
Приложения:
Ответы
Автор ответа:
0
Пошаговое объяснение:
отак я об'яснив там повністю удачі
Приложения:
Похожие вопросы
Предмет: Физика,
автор: whysoserious1337
Предмет: Литература,
автор: nc4vwvd6w9
Предмет: Қазақ тiлi,
автор: vind4995
Предмет: Алгебра,
автор: vlad555592
Предмет: История,
автор: karolina2006161