Предмет: Математика,
автор: puma07
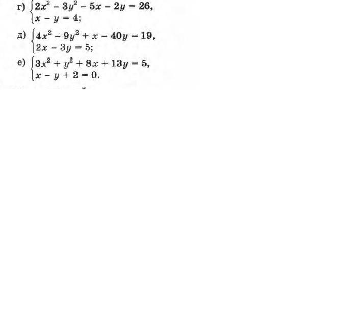
помогите решить системно уравнение только Г
Приложения:
Ответы
Автор ответа:
1
Ответ:
(x1 y1)=6,2
(x2 y2)=11,7
Похожие вопросы
Предмет: Математика,
автор: 20anastasia111
Предмет: Математика,
автор: devid1709kill
Предмет: ОБЖ,
автор: ssoffiasolo
Предмет: Алгебра,
автор: jdhdhdhehdh