Предмет: Алгебра,
автор: vladislavg424
ПОМОГИТЕ СРОЧНО ПЛИЗЗ
5°. Винесіть спільний множник за дужки:
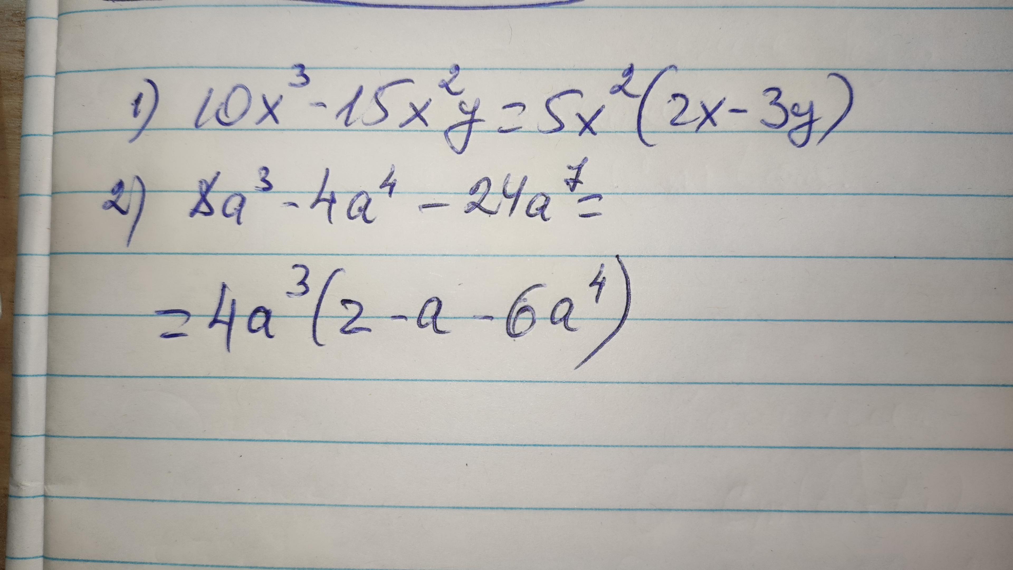
1) 10x3 – 15x2y; 2) 8a3 – 4a4 – 2
Приложения:
Ответы
Автор ответа:
1
Ответ:вот
Объяснение:
Приложения:
vladislavg424:
Спасибо большое, ты лучший
На здоровье
Автор ответа:
0
Відповідь:воt
Пояснення:
1)10x²-15x²y=5x²*(2xx-3y)
2)8a³-4a-2=(4a³-2a⁴-1)
Похожие вопросы
Предмет: Физика,
автор: stepanenkov991
Предмет: Математика,
автор: tosttirt
Предмет: Математика,
автор: amiraabbasova0001
Предмет: Английский язык,
автор: kristinage22
Предмет: География,
автор: Аноним