Предмет: Алгебра,
автор: muslimmuslum39
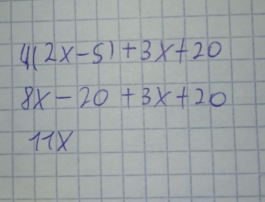
4(2x-5)+3x+20 прошу помогите
Ответы
Автор ответа:
0
Объяснение:
пожалуйста в следующий раз уточняй что надо сделать,но как я понял сократить/укоротить
Приложения:
Похожие вопросы
Предмет: Химия,
автор: dino82642
Предмет: Литература,
автор: schapovalov2011
Предмет: Математика,
автор: zerekudaiberge65
Предмет: Кыргыз тили,
автор: viktoriyanov44
Предмет: Алгебра,
автор: tanja06111989