Предмет: Алгебра,
автор: 2hstrvvjkg
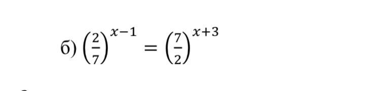
будь ласка розв’яжіть рівняння (фото)
Приложения:
Ответы
Автор ответа:
0
Ответ:
скачай photomath
ответ : -1
Похожие вопросы
Предмет: Биология,
автор: Zen1yyyy
Предмет: Математика,
автор: lubovbaeva29
Предмет: Химия,
автор: kukak2010kuka
Предмет: Химия,
автор: nastapolozyk
Предмет: Математика,
автор: emil7228