Предмет: Алгебра,
автор: gold95408
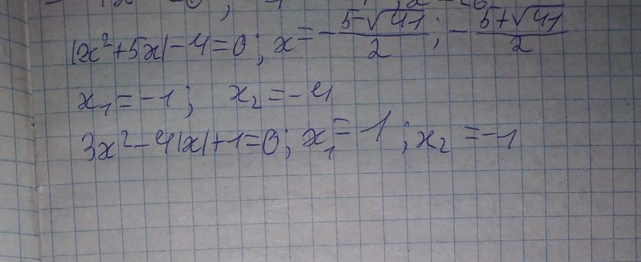
|X² +5X|-4 = 0
3X²-4|x|+1=0
помогите решить через дискириминант
Ответы
Автор ответа:
1
Ответ:
Решение смотри на фотографии, отметьте пожалуйста как лучший ответ
Приложения:
Похожие вопросы
Предмет: ОБЖ,
автор: asyakovalenko1810
Предмет: Биология,
автор: mihonchuk1
Предмет: Астрономия,
автор: 7777God7777
Предмет: Математика,
автор: Аноним
Предмет: Алгебра,
автор: Jdidj