Предмет: Физика,
автор: annakorzhan4444
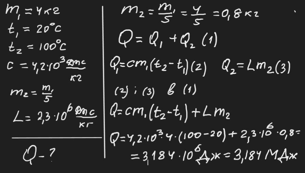
воду масою 4 кг , взятої 20c нагріли до кіпіння і п'яту. частину перетворили в пару. скільки теплоти потрібно затратити при цьому? (!!!напишіть не тільки відповідь, а і дії!!!)
Ответы
Автор ответа:
1
Відповідь: 3,184 МДж
Пояснення:
Приложения:
Похожие вопросы
Предмет: Қазақ тiлi,
автор: zhumabaevvaasylai
Предмет: Українська література,
автор: gatods
Предмет: Геометрия,
автор: katenok2006
Предмет: Русский язык,
автор: Аноним
Предмет: Алгебра,
автор: denisova8