Предмет: Алгебра,
автор: pdp66933
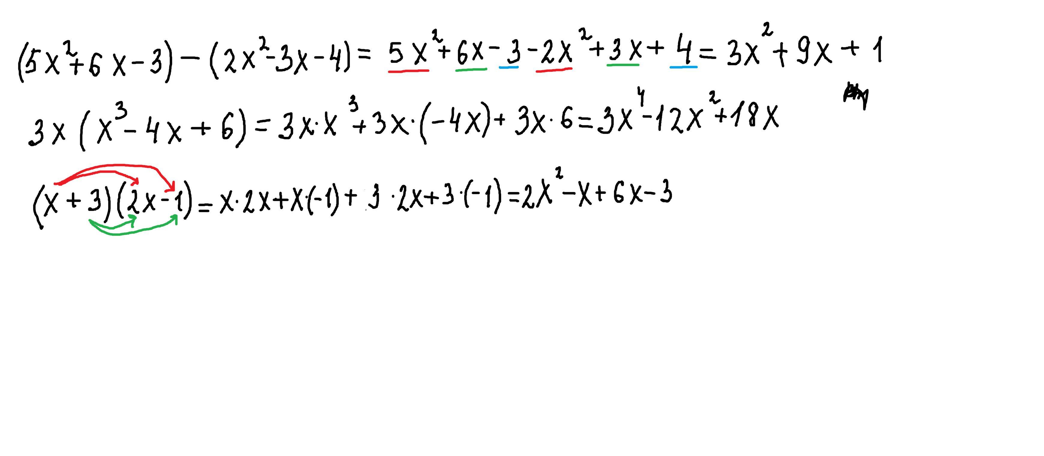
Ребят помогите по алгебре, перетворіть вираз у многочлен. Даю 50 баллов!
Приложения:
Ответы
Автор ответа:
1
Ответ:
Объяснение:
решение внизу
Приложения:
Похожие вопросы
Предмет: Физика,
автор: hanevskaalubov
Предмет: Геометрия,
автор: varivexx
Предмет: Математика,
автор: tkachykirina97
Предмет: Алгебра,
автор: ufc2282
Предмет: Литература,
автор: andriyokey30