Предмет: Математика,
автор: kollyakovalenko
поможіть будь ласочка
виконайте дії:
(3 1/6- 5 1/6: 4 2/15)x3/92=
x-множення
Ответы
Автор ответа:
2
Відповідь:
Покрокове пояснення:
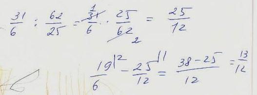
ось на 1 фото рішення, а на 2 фото звідки взялись 25/12 та 13/12
Приложения:
Похожие вопросы
Предмет: История,
автор: hdjjdhdjd686
Предмет: География,
автор: ogyreclol647
Предмет: Українська мова,
автор: marinanew667
Предмет: Литература,
автор: pro100maev