Предмет: Алгебра,
автор: ahmedrobesky
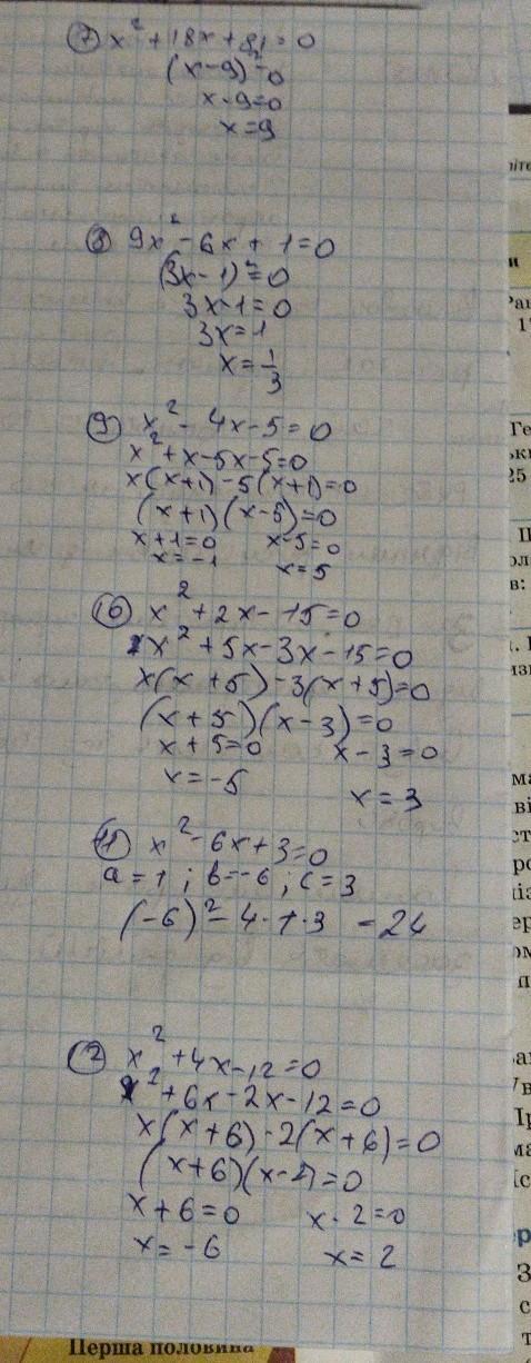
Здравствуйте, второй столбик. Помогите решить. Даю 40 баллов( получите 20-25)
Приложения:
Ответы
Автор ответа:
1
Объяснение:
в 11 може бути помилка !!!!!!!!!!!!!!
Приложения:
Похожие вопросы
Предмет: Математика,
автор: Albinaasmi
Предмет: Українська мова,
автор: polinakiancenko
Предмет: Русский язык,
автор: canastasia022
Предмет: Математика,
автор: Аноним
Предмет: Физкультура и спорт,
автор: vmb0