Предмет: Алгебра,
автор: sambelala45
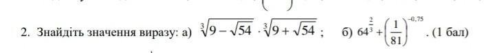
Помогите) только надо расписать
Приложения:
Ответы
Автор ответа:
0
Объяснение:
надеюсь помогла удачи)
Приложения:
Похожие вопросы
Предмет: Українська мова,
автор: 4helkash
Предмет: Литература,
автор: rsonya132
Предмет: Українська мова,
автор: maksimgapon20
Предмет: Химия,
автор: Vanilara