Предмет: Математика,
автор: unvm9c9253
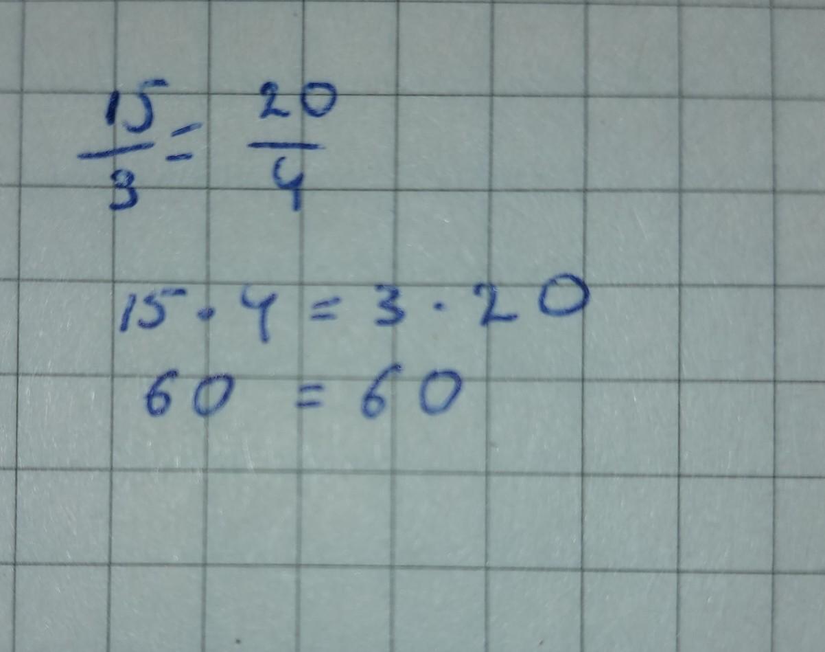
Решите буду благодарна, перевірити користуючись основною властивістю чи можна з відношень 15/3 (ето дробі) і 20/4 скласти пропорцію
Ответы
Автор ответа:
1
Пошаговое объяснение:
Із цих дробів можна скласти пропорцію
Приложения:
Похожие вопросы
Предмет: Английский язык,
автор: Miroslav228337
Предмет: Литература,
автор: boykomariaanna
Предмет: Математика,
автор: ssxsad4
Предмет: Математика,
автор: yaina21
Предмет: История,
автор: polina11diachenko